Упр.112 ГДЗ Никольский Потапов 8 класс (Алгебра)
Решение #1

Рассмотрим вариант решения задания из учебника Никольский, Потапов 8 класс, Просвещение:
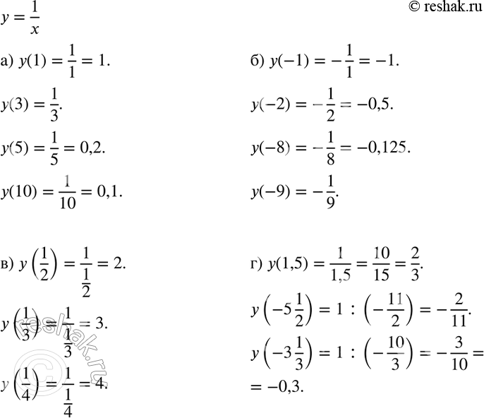
112. Дана функция у = 1/x. Вычислите:
а) у( 1), у(3), y (5), y (10);
б) у(-1), у(-2), у(-8), y(-9);
в) y(1/2), y(1/3), y(1/4);
г) y(1,5), y(-5*1/2), y(-3*1/3).
*размещая тексты в комментариях ниже, вы автоматически соглашаетесь с пользовательским соглашением