Упр.137 ГДЗ Никольский Потапов 8 класс (Алгебра)
Решение #1

Рассмотрим вариант решения задания из учебника Никольский, Потапов 8 класс, Просвещение:
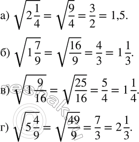
Вычислите (137—138):
137 а) корень 2*1/4;
б) корень 1*7/9;
в) корень 1*9/16;
г) корень 5*4/9.
*размещая тексты в комментариях ниже, вы автоматически соглашаетесь с пользовательским соглашением