Упр.160 ГДЗ Никольский Потапов 8 класс (Алгебра)
Решение #1

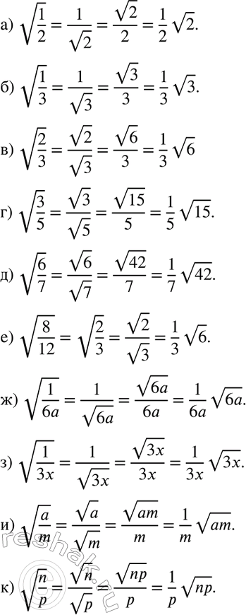
Рассмотрим вариант решения задания из учебника Никольский, Потапов 8 класс, Просвещение:
160. Вынесите множитель из-под знака корня:
а) корень 1/2;
б) корень 1/3;
в) корень 2/3;
г) корень 3/5;
д) корень 6/7;
е) корень 8/12;
ж) корень 1/6a;
з) корень 1/3x;
и) корень a/m;
к) корень n/p.
*размещая тексты в комментариях ниже, вы автоматически соглашаетесь с пользовательским соглашением