Упр.201 ГДЗ Никольский Потапов 8 класс (Алгебра)
Решение #1

Рассмотрим вариант решения задания из учебника Никольский, Потапов 8 класс, Просвещение:
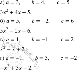
201. Составьте квадратный трёхчлен ах2 + bх + с, если даны его коэффициенты и свободный член:
а) а = 3, b = 4, с = 5;
б) а = 5, b = -2, с = 6;
в) а = 1, b = -1, с = 2;
г) а = -1, b = 3, с = -2.
*размещая тексты в комментариях ниже, вы автоматически соглашаетесь с пользовательским соглашением