Упр.207 ГДЗ Никольский Потапов 8 класс (Алгебра)
Решение #1

Рассмотрим вариант решения задания из учебника Никольский, Потапов 8 класс, Просвещение:
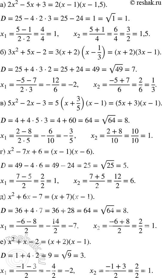
207 Разложите на линейные множители квадратный трёхчлен:
а) 2х2 - 5х + 3;
б) 3х2 + 5х - 2;
в) 5x2 - 2x - 3;
г) х2 - 7х + 6;
д) x2 + 6x - 7;
е) x2 + х - 2.
*размещая тексты в комментариях ниже, вы автоматически соглашаетесь с пользовательским соглашением