Упр.208 ГДЗ Никольский Потапов 8 класс (Алгебра)
Решение #1

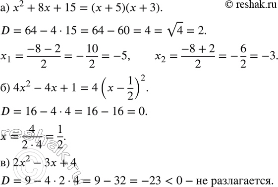
Рассмотрим вариант решения задания из учебника Никольский, Потапов 8 класс, Просвещение:
208 Разложите квадратный трёхчлен на линейные множители, если это возможно (если нет, то укажите причину):
а) х2 + 8x + 15;
б) 4х2 - 4x + 1;
в) 2x2 - 3x + 4.
*размещая тексты в комментариях ниже, вы автоматически соглашаетесь с пользовательским соглашением