Упр.218 ГДЗ Никольский Потапов 8 класс (Алгебра)
Решение #1

Рассмотрим вариант решения задания из учебника Никольский, Потапов 8 класс, Просвещение:
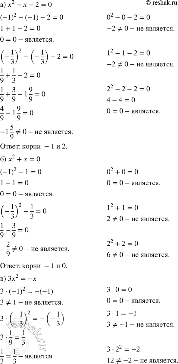
218. Выберите из чисел -1, -1/3,0, 1, 2 корни уравнения:
а) x2 — х - 2 = 0;
б) x2 + х = 0;
в) 3х2 = -х;
г) 3x2 + 5x = 2;
д) 4х - 5 = -6 - 3x2;
е) 2x + x2 = -2 - x.
*размещая тексты в комментариях ниже, вы автоматически соглашаетесь с пользовательским соглашением