Упр.224 ГДЗ Никольский Потапов 8 класс (Алгебра)
Решение #1

Рассмотрим вариант решения задания из учебника Никольский, Потапов 8 класс, Просвещение:
Решите уравнение (224—228):
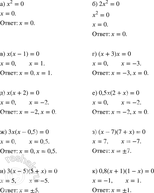
224 а) х2 = 0;
б) 2х2 = 0;
в) х(х - 1) = 0;
г) (х + 3)х = 0;
д) х(х + 2) = 0;
е) 0,5x(2+x)=0;
ж) 3х(х - 0,5) = 0;
з) (х - 7)(7 + х) = 0;
и) 3(х - 5)(5 + х) = 0;
к) 0,8(х + 1)(1 - х) = 0.
*размещая тексты в комментариях ниже, вы автоматически соглашаетесь с пользовательским соглашением