Упр.227 ГДЗ Никольский Потапов 8 класс (Алгебра)
Решение #1

Рассмотрим вариант решения задания из учебника Никольский, Потапов 8 класс, Просвещение:
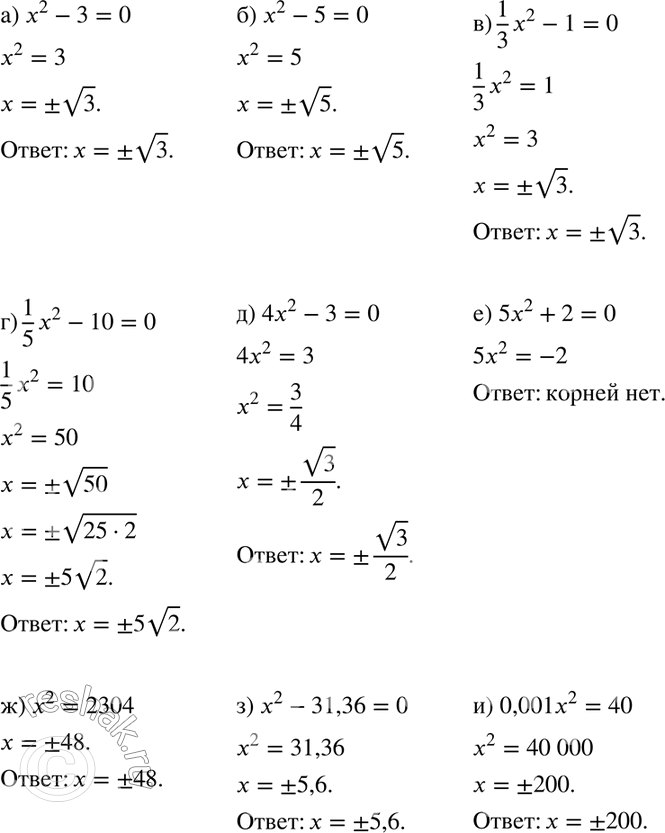
227. а) х2- 3 = 0;
б) х2 - 5 = 0;
в) 1/3*х2 - 1 = 0;
г) 1/5*х2 - 10 = 0;
д) 4х2 - 3 = 0;
е) 5х2 + 2 = 0;
ж) x2 = 2304;
з) х2 - 31,36 = 0;
и) 0,001x2 = 40.
*размещая тексты в комментариях ниже, вы автоматически соглашаетесь с пользовательским соглашением