Упр.230 ГДЗ Никольский Потапов 8 класс (Алгебра)
Решение #1

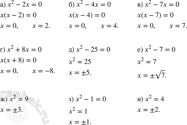
Рассмотрим вариант решения задания из учебника Никольский, Потапов 8 класс, Просвещение:
230. Запишите квадратное уравнение, корни которого:
а) 0 и 2;
б) 0 и 4;
в) 0 и 7;
г) 0 и -8;
д) -5 и 5;
е) - корень 7 и корень 7;
ж) -3 и 3;
з) -1 и 1;
и) -2 и 2.
*размещая тексты в комментариях ниже, вы автоматически соглашаетесь с пользовательским соглашением