Упр.246 ГДЗ Никольский Потапов 8 класс (Алгебра)
Решение #1

Рассмотрим вариант решения задания из учебника Никольский, Потапов 8 класс, Просвещение:
246. а) 3х2 - 4х - 4 = 0;
б) 2х2 - 8х - 20 = 0;
в) 4х2 + 6х + 9 = 0;
г) 4х2 + 12х + 9 = 0;
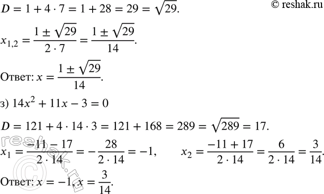
д) 16х2 + 21х - 22 = 0;
е) 18х2 - х - 1 = 0;
ж) 7х2 - х - 1 = 0;
з) 14х2 + 11х - 3 = 0.
*размещая тексты в комментариях ниже, вы автоматически соглашаетесь с пользовательским соглашением