Упр.247 ГДЗ Никольский Потапов 8 класс (Алгебра)
Решение #1

Рассмотрим вариант решения задания из учебника Никольский, Потапов 8 класс, Просвещение:
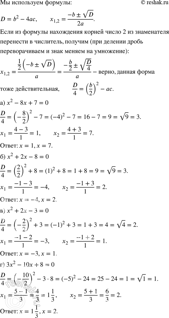
247. Доказываем. Докажите, что корни уравнения ах2 + bх + с = 0 (а =/ 0) при D>= 0 можно вычислять по формуле
Решите по этой формуле уравнение:
а) х2 - 8х + 7 = 0;
б) х2 + 2х - 8 = 0;
в) х2 + 2х - 3 = 0;
г) 3х2 - 10х + 8 = 0;
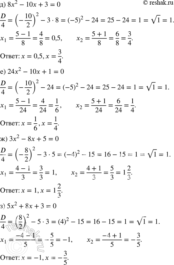
д) 8х2 - 10х + 3 = 0;
е) 24х2 - 10х + 1 = 0;
ж) 3х2 - 8х + 5 = 0;
з) 5х2 + 8х + 3 = 0.
*размещая тексты в комментариях ниже, вы автоматически соглашаетесь с пользовательским соглашением