Упр.252 ГДЗ Никольский Потапов 8 класс (Алгебра)
Решение #1

Рассмотрим вариант решения задания из учебника Никольский, Потапов 8 класс, Просвещение:
Решите уравнение (252—254):
252. а) |х2 - 5х + 2| = 2;
б) |х2 - 4х - 1| = 4;
в) |х2 - 4х + 1| = |х2 - 3х - 10|;
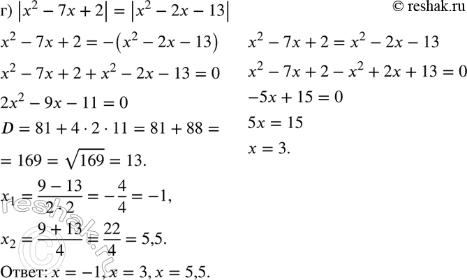
г) |х2 - 7х + 2| = |х2 - 2х - 13|.
*размещая тексты в комментариях ниже, вы автоматически соглашаетесь с пользовательским соглашением