Упр.257 ГДЗ Никольский Потапов 8 класс (Алгебра)
Решение #1

Рассмотрим вариант решения задания из учебника Никольский, Потапов 8 класс, Просвещение:
Решите уравнение (257—259):
257. а) х2 - 6x + 8 = 0;
б) x2 - 2х - 15 = 0;
в) х2 + 6х + 8 = 0;
г) x2 + 2х - 15 = 0;
д) х2 + 20х + 51 = 0;
е) x2 - 22х - 23 = 0;
ж) х2 - 20х - 69 = 0;
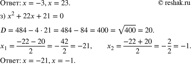
з) x2 + 22х + 21 = 0.
*размещая тексты в комментариях ниже, вы автоматически соглашаетесь с пользовательским соглашением