Упр.269 ГДЗ Никольский Потапов 8 класс (Алгебра)
Решение #1

Рассмотрим вариант решения задания из учебника Никольский, Потапов 8 класс, Просвещение:
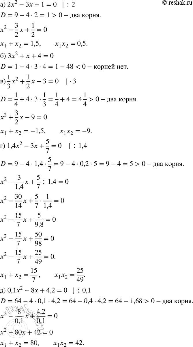
269 Укажите сумму и произведение корней квадратного уравнения (если они существуют):
а) 2х2 - 3х + 1 = 0;
б) 3х2 + х + 4 = 0;
в) 1/3*х2 + 1/2* х- 3 = 0;
д) 0,1х2 - 8х + 4,2 = 0;
г) 1,4х2 - 3х + 5/7 = 0;
е) 3х2 + 1,1х - 0,4 = 0.
*размещая тексты в комментариях ниже, вы автоматически соглашаетесь с пользовательским соглашением