Упр.319 ГДЗ Никольский Потапов 8 класс (Алгебра)
Решение #1

Рассмотрим вариант решения задания из учебника Никольский, Потапов 8 класс, Просвещение:
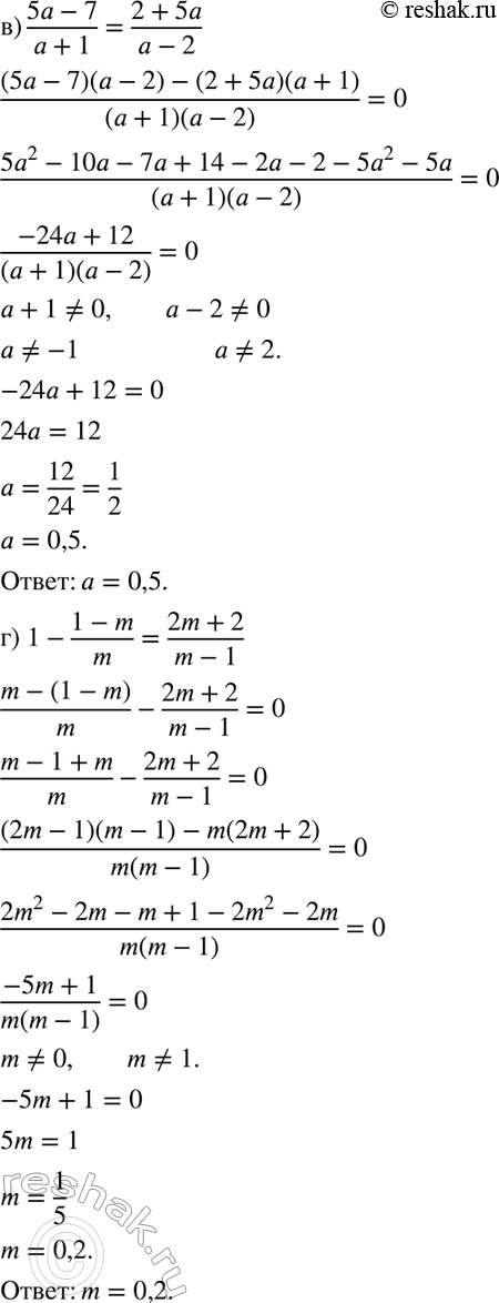
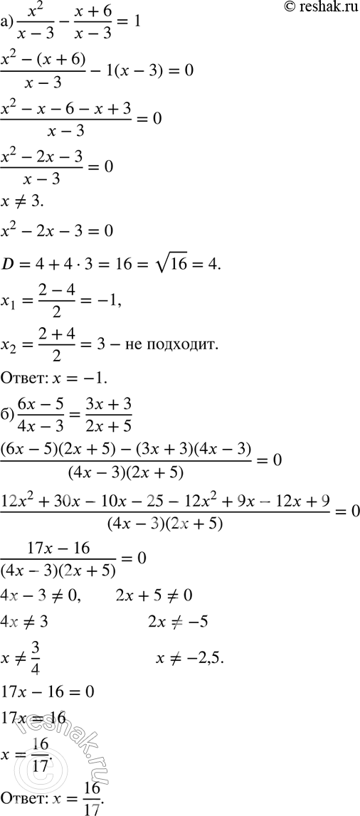
319
*размещая тексты в комментариях ниже, вы автоматически соглашаетесь с пользовательским соглашением