Упр.346 ГДЗ Никольский Потапов 8 класс (Алгебра)
Решение #1

Рассмотрим вариант решения задания из учебника Никольский, Потапов 8 класс, Просвещение:
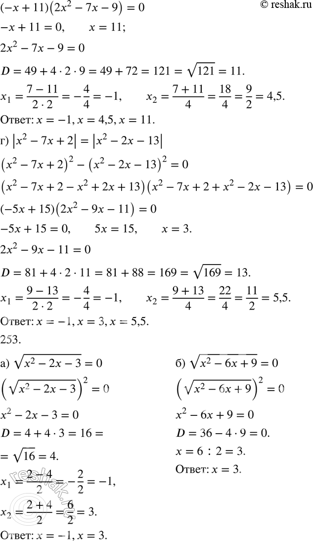
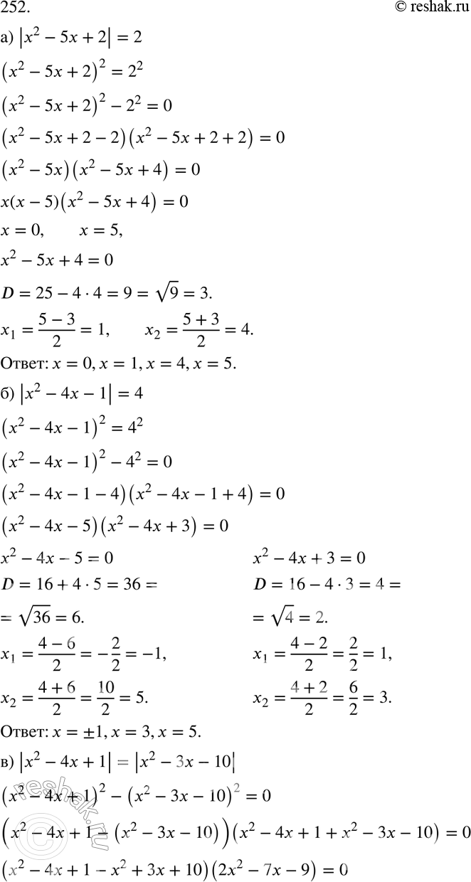
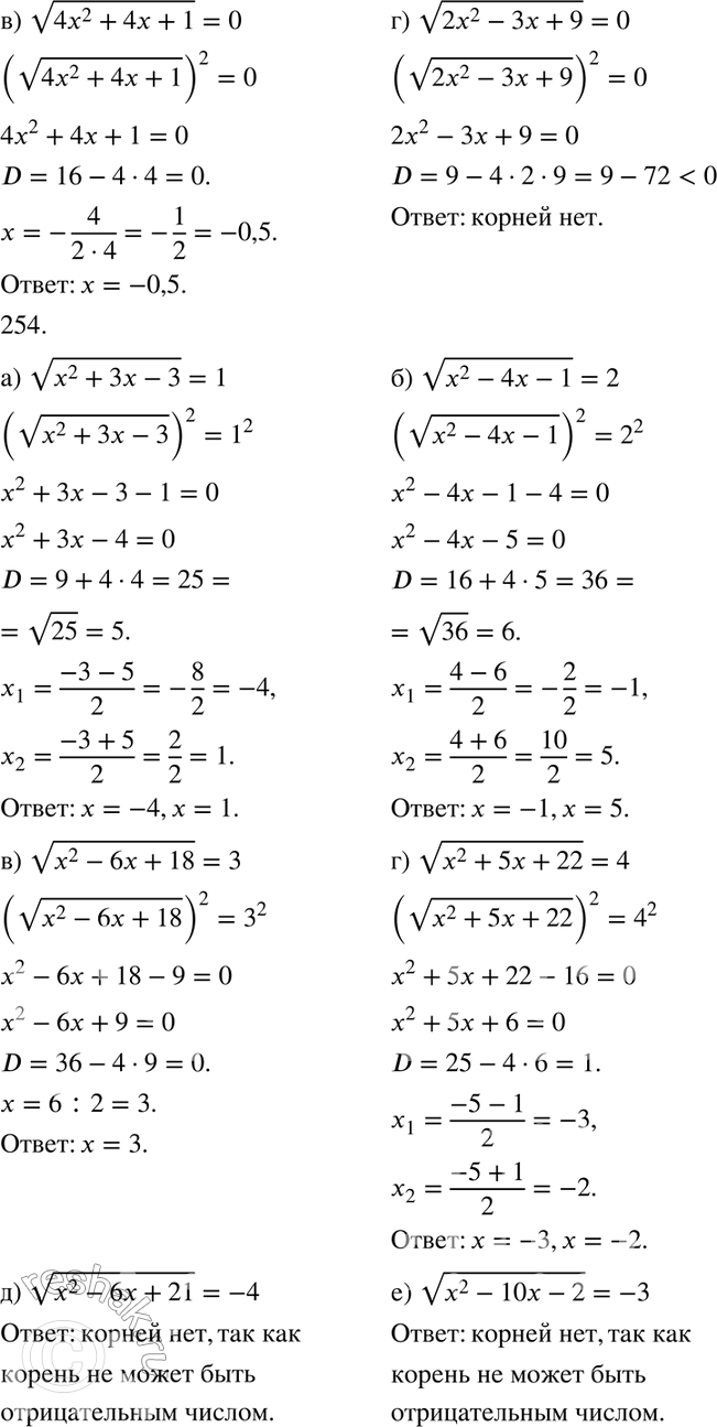
346. Решите уравнения из заданий 252—254 (см. с. 85) переходом к уравнению-следствию.
*размещая тексты в комментариях ниже, вы автоматически соглашаетесь с пользовательским соглашением