Упр.352 ГДЗ Колягин Ткачёва 7 класс (Алгебра)
Решение #1

Рассмотрим вариант решения задания из учебника Колягин, Ткачёва, Фёдорова 7 класс, Просвещение:
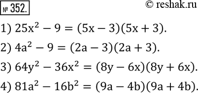
352. Разложить на множители:
1) 25x^2-9;
2) 4a^2-9;
3) 64y^2-36x^2;
4) 81a^2-16b^2.
*размещая тексты в комментариях ниже, вы автоматически соглашаетесь с пользовательским соглашением