Упр.369 ГДЗ Колягин Ткачёва 7 класс (Алгебра)
Решение #1

Рассмотрим вариант решения задания из учебника Колягин, Ткачёва, Фёдорова 7 класс, Просвещение:
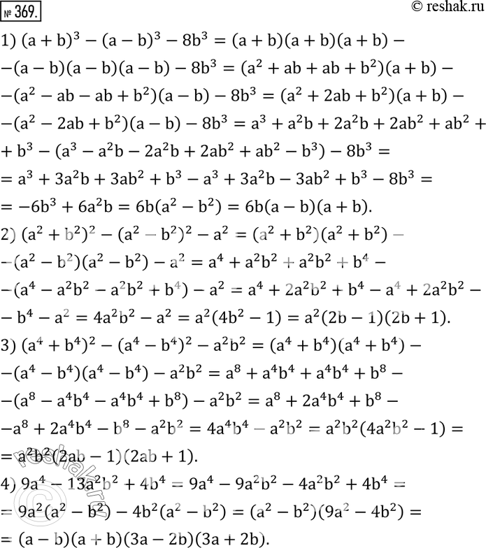
369. Разложить на множители:
1) (a+b)^3-(a-b)^3-8b^3;
2) (a^2+b^2 )^2-(a^2-b^2 )^2-a^2;
3) (a^4+b^4 )^2-(a^4-b^4 )^2-a^2 b^2;
4) 9a^4-13a^2 b^2+4b^4.
*размещая тексты в комментариях ниже, вы автоматически соглашаетесь с пользовательским соглашением