Упр.399 ГДЗ Никольский Потапов 8 класс (Алгебра)
Решение #1

Рассмотрим вариант решения задания из учебника Никольский, Потапов 8 класс, Просвещение:
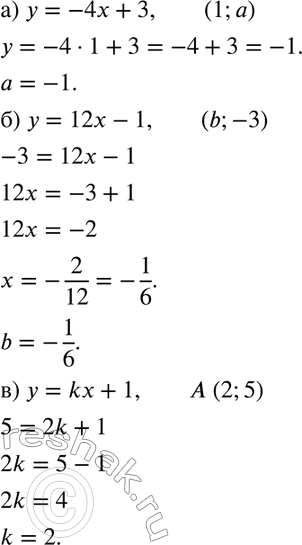
399. а) Задана функция у = -4x + 3. Точка (1; а) принадлежит графику этой функции. Найдите а.
б) Задана функция у= 12x - 1. Точка (b; -3) принадлежит графику этой функции. Найдите b.
в) Определите угловой коэффициент k функции у = kx + 1, если точка А (2; 5) принадлежит её графику.
*размещая тексты в комментариях ниже, вы автоматически соглашаетесь с пользовательским соглашением