Упр.442 ГДЗ Колягин Ткачёва 7 класс (Алгебра)
Решение #1

Рассмотрим вариант решения задания из учебника Колягин, Ткачёва, Фёдорова 7 класс, Просвещение:
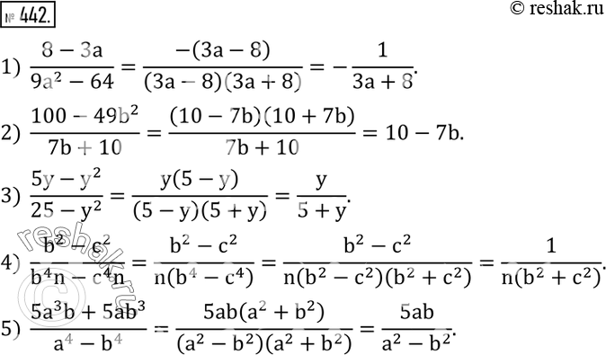
442. Разложить на множители числитель и знаменатель дроби и сократить ее:
1) (8-3a)/(9a^2-64);
2) (100-49b^2)/(7b+10);
3) (5y-y^2)/(25-y^2 );
4) (b^2-c^2)/(b^4 n-c^4 n);
5) (5a^3 b+5ab^3)/(a^4-b^4 ).
*размещая тексты в комментариях ниже, вы автоматически соглашаетесь с пользовательским соглашением