Упр.485 ГДЗ Колягин Ткачёва 7 класс (Алгебра)
Решение #1

Рассмотрим вариант решения задания из учебника Колягин, Ткачёва, Фёдорова 7 класс, Просвещение:
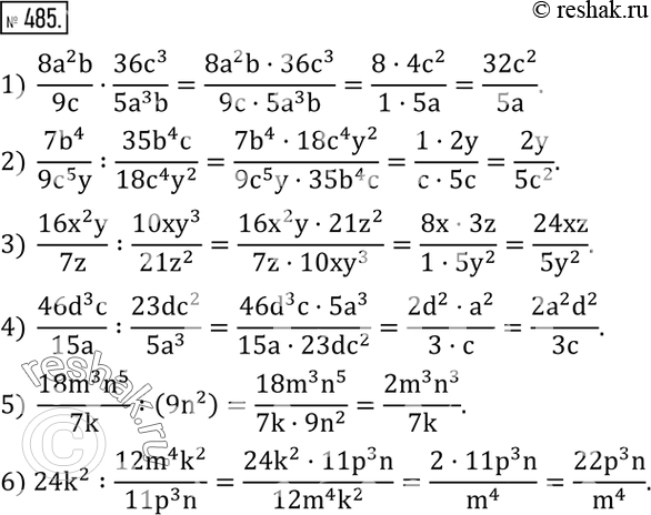
485. Выполнить действия:
1) (8a^2 b)/9c•(36c^3)/(5a^3 b);
2) (7b^4)/(9c^5 y) :(35b^4 c)/(18c^4 y^2 );
3) (16x^2 y)/7z :(10xy^3)/(21z^2 );
4) (46d^3 c)/15a :(23dc^2)/(5a^3 );
5) (18m^3 n^5)/7k :(9n^2 );
6) 24k^2 :(12m^4 k^2)/(11p^3 n).
*размещая тексты в комментариях ниже, вы автоматически соглашаетесь с пользовательским соглашением