Упр.502 ГДЗ Мерзляк Полонский 6 класс (Математика)
Решение #1

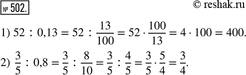
Рассмотрим вариант решения задания из учебника Мерзляк, Полонский, Якир 6 класс, Вентана-Граф:
502 Найдите число, если:
1) 13% этого числа равны 52;
2) 80% этого числа равны 3/5.
*размещая тексты в комментариях ниже, вы автоматически соглашаетесь с пользовательским соглашением