Упр.540 ГДЗ Никольский Потапов 8 класс (Алгебра)
Решение #1

Рассмотрим вариант решения задания из учебника Никольский, Потапов 8 класс, Просвещение:
540 а) система
x2+y2=41,
y-x=1;
б) система
x2+y2=13,
y-x=-1;
в) система
x2-y2=3,
x+y=1;
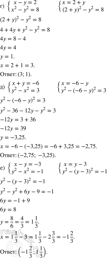
г) система
x-y=2,
x2-y2=8;
д) система
x+y=-6,
y2-x2=3;
е) система
x-y=-3,
y2-x2=-1.
*размещая тексты в комментариях ниже, вы автоматически соглашаетесь с пользовательским соглашением