Упр.542 ГДЗ Никольский Потапов 8 класс (Алгебра)
Решение #1

Рассмотрим вариант решения задания из учебника Никольский, Потапов 8 класс, Просвещение:
542 а) система
x+y-7=0,
x2+xy+y2=43;
б) система
x+y-6=0,
2x2-y2=-23;
в) система
x+y=3,
x2-y2-4xy+11=0;
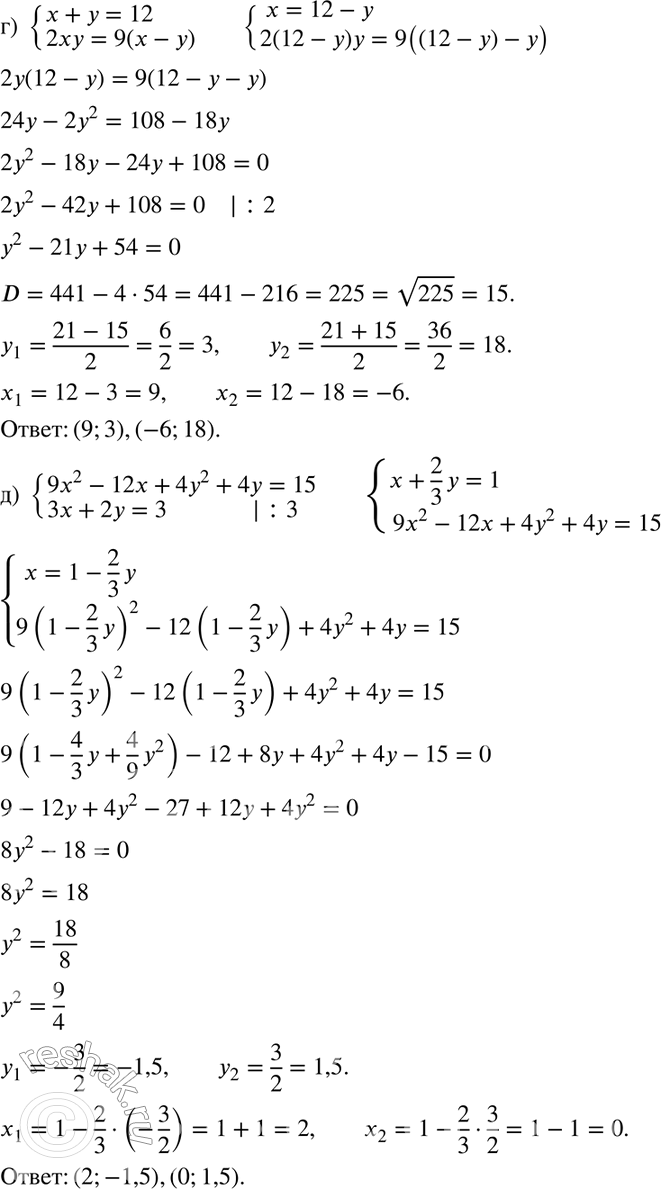
г) система
x+y=12,
2xy=9(x-y);
д) система
9x2-12x+4y2+4y=15,
3x+2y=3;
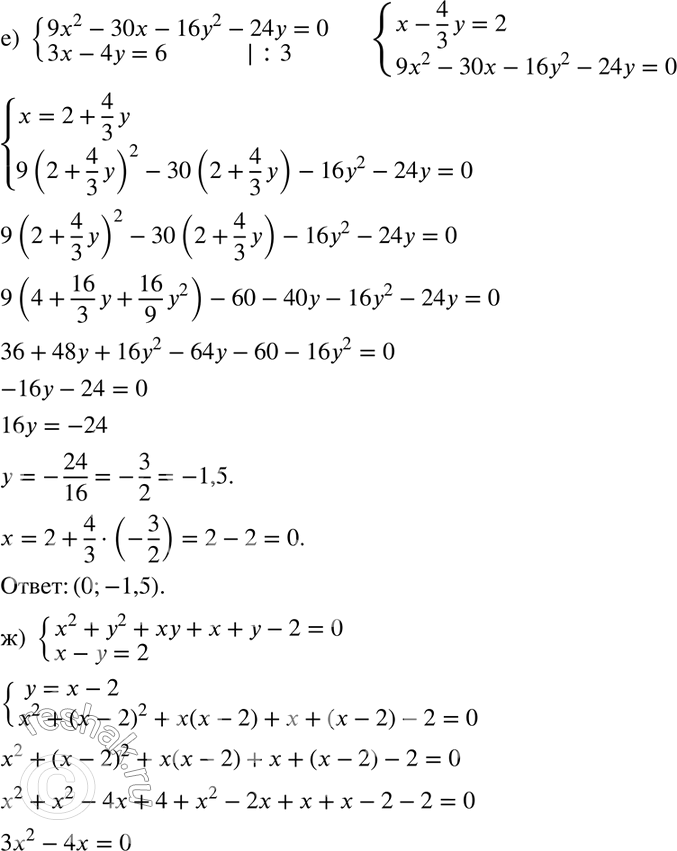
е) система
9x2-30x-16y2-24y=0,
3x-4y=6;
ж) система
x2+y2+xy+x+y-2=0,
x-y=2;
з) система
x+y=1,
x2-2y2+xy-x-y+3=0.
*размещая тексты в комментариях ниже, вы автоматически соглашаетесь с пользовательским соглашением