Упр.582 ГДЗ Никольский Потапов 8 класс (Алгебра)
Решение #1

Рассмотрим вариант решения задания из учебника Никольский, Потапов 8 класс, Просвещение:
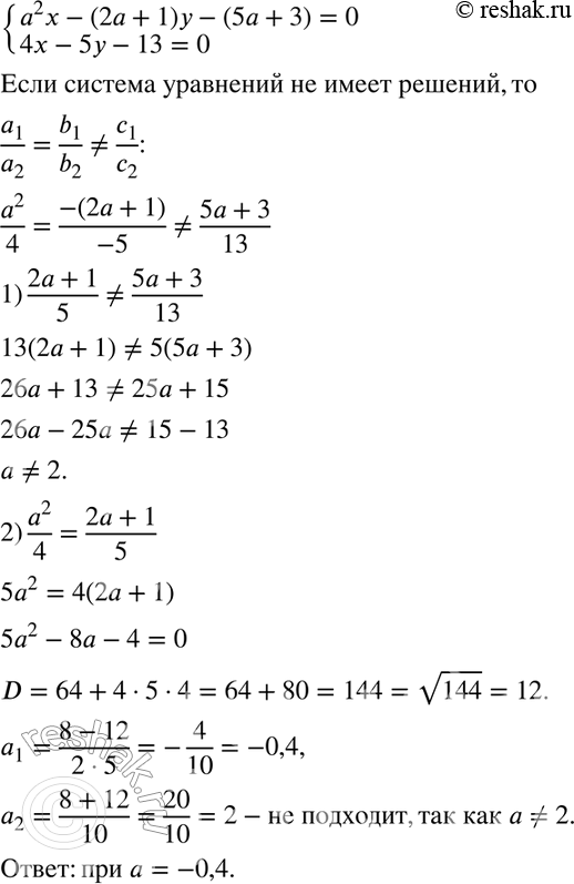
582. Найдите все значения а, при каждом из которых система уравнений
система
а2х - (2а + 1) у - (5а + 3) = 0,
4x — 5y — 13 = 0
не имеет решений.
*размещая тексты в комментариях ниже, вы автоматически соглашаетесь с пользовательским соглашением