Упр.665 ГДЗ Дорофеев Суворова 7 класс (Алгебра)
Решение #1

Рассмотрим вариант решения задания из учебника Дорофеев, Суворова, Бунимович 10-11 класс, Просвещение:
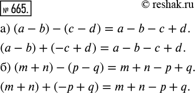
665 Представьте многочлен в виде суммы и в виде разности двух каких-либо двучленов (проверьте, раскрыв мысленно скобки, правильно ли вы выполнили задание):
а) а-b-с + d;
б) m + n -р + q.
*размещая тексты в комментариях ниже, вы автоматически соглашаетесь с пользовательским соглашением