Упр.681 ГДЗ Никольский Потапов 8 класс (Алгебра)
Решение #1

Рассмотрим вариант решения задания из учебника Никольский, Потапов 8 класс, Просвещение:
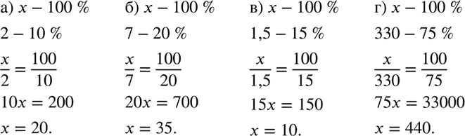
681 Определите число:
а) 10 % которого составляют 2;
б) 20 % которого составляют 7;
в) 15 % которого составляют 1,5;
г) 75 % которого составляют 330.
*размещая тексты в комментариях ниже, вы автоматически соглашаетесь с пользовательским соглашением