Упр.694 ГДЗ Никольский Потапов 8 класс (Алгебра)
Решение #1

Рассмотрим вариант решения задания из учебника Никольский, Потапов 8 класс, Просвещение:
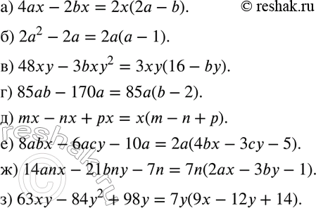
Разложите на множители (694—699):
694 а) 4ах - 2bх;
б) 2а2 - 2а;
в) 48ху - 3bху2;
г) 85ab - 170а;
д) mх - nх + рх;
е) 8abx - 6асу - 10а;
ж) 14аnx - 2bny - 7n;
з) 63ху - 84у2 + 98у.
*размещая тексты в комментариях ниже, вы автоматически соглашаетесь с пользовательским соглашением