Упр.758 ГДЗ Никольский Потапов 8 класс (Алгебра)
Решение #1

Рассмотрим вариант решения задания из учебника Никольский, Потапов 8 класс, Просвещение:
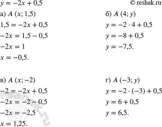
758. Точка А принадлежит графику функции у = -2х + 0,5. Определите неизвестную координату:
а) А(х; 1,5);
б) А (4; у);
в) А(х; -2);
г) А(-3; у).
*размещая тексты в комментариях ниже, вы автоматически соглашаетесь с пользовательским соглашением