Упр.824 ГДЗ Никольский Потапов 8 класс (Алгебра)
Решение #1

Рассмотрим вариант решения задания из учебника Никольский, Потапов 8 класс, Просвещение:
824 а) х4 + 2х2-3 = 0;
б) x4-x2-6=0;
в) х3 + 4х2 + 4х + 1 = 0;
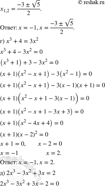
г) х3 + 4 = 3x2;
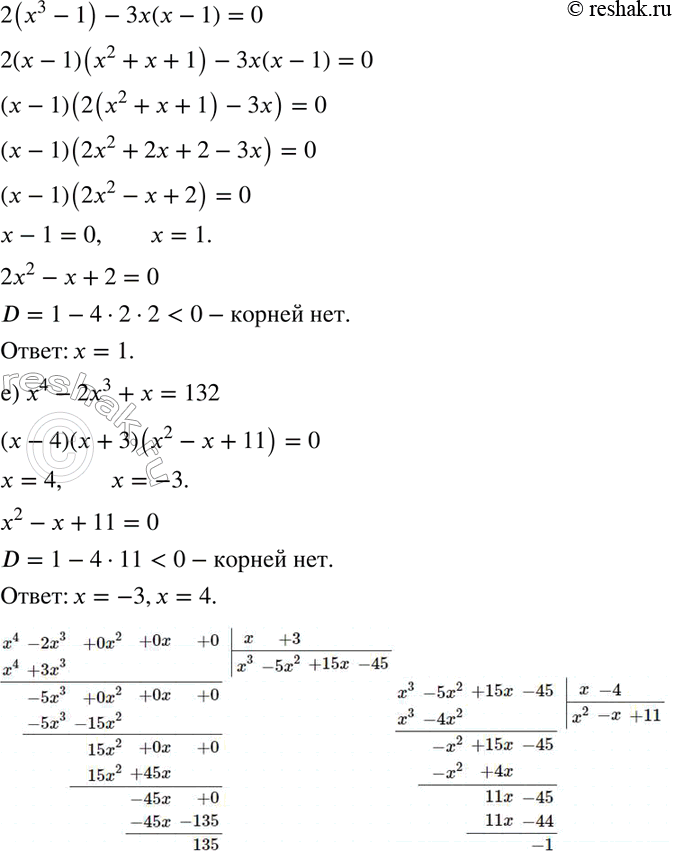
д) 2х3 - 3х2 + 3х = 2;
е) х4 - 2х3 + х = 132.
*размещая тексты в комментариях ниже, вы автоматически соглашаетесь с пользовательским соглашением