Упр.96 ГДЗ Муравин 6 класс (Математика)

Решение #1

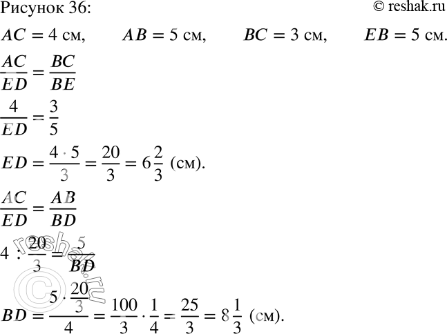
Изображение 96. На рисунках 35 и 36 изображены пары треугольников.1) Можно ли утверждать, что каждая пара составлена из подобных друг другу треугольников?2) Для каждой пары...
Дополнительное изображение
Загрузка...

Рассмотрим вариант решения задания из учебника Муравин, Муравина 6 класс, Дрофа:
96. На рисунках 35 и 36 изображены пары треугольников.
1) Можно ли утверждать, что каждая пара составлена из подобных друг другу треугольников?
2) Для каждой пары треугольников выпишите пары сходственных сторон и составьте из них пропорции.
3) Пользуясь указанными на рисунках данными, найдите из пропорций неизвестные длины сторон треугольников.
*Цитирирование задания со ссылкой на учебник производится исключительно в учебных целях для лучшего понимания разбора решения задания.
*размещая тексты в комментариях ниже, вы автоматически соглашаетесь с пользовательским соглашением