Упр.183 ГДЗ Алимов 10-11 класс (Алгебра)
Решение #1
Решение #2

Рассмотрим вариант решения задания из учебника Алимов, Колягин, Ткачёва 10 класс, Просвещение:
183 Решить уравнение:
1) корень (3-x)=2;
2) корень (3x+1) =8;
3) корень (3-4x) =2x;
4) корень (5x-1+3x2) = 3x;
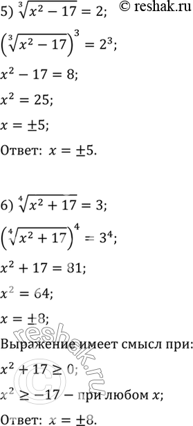
5) корень 3 степени (x2-17) =2;
6) корень 4 степени (x2+17) =3.
*размещая тексты в комментариях ниже, вы автоматически соглашаетесь с пользовательским соглашением