Упр.12.3 ГДЗ Мордкович 9 класс (Алгебра)
Решение #1
Решение #2

Рассмотрим вариант решения задания из учебника Мордкович 9 класс, Мнемозина:
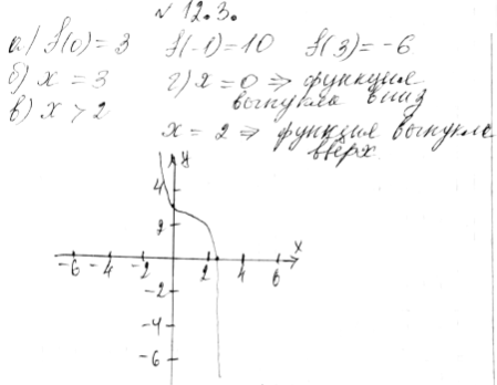
12.3. Постройте график функции у = f(х), где f(х) = -(х - 1)3 + 2. С помощью графика найдите:
а) f(О), f(-1), f(З);
б) корень уравнения f(х) = -6;
в) решение неравенства f(х) < 1;
г) значения аргумента, при которых функция выпукла вверх, выпукла вниз.
*размещая тексты в комментариях ниже, вы автоматически соглашаетесь с пользовательским соглашением