Упр.12.35 ГДЗ Мордкович 9 класс (Алгебра)

Решение #1

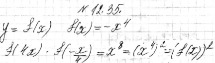
Изображение 12.34. Дана функция у =f(x), где f(x) =-x4. Докажите, что f(4x) *f(-x/4)=(f(x))2....

Решение #2

Изображение 12.34. Дана функция у =f(x), где f(x) =-x4. Докажите, что f(4x) *f(-x/4)=(f(x))2....
Загрузка...

Рассмотрим вариант решения задания из учебника Мордкович 9 класс, Мнемозина:
12.34. Дана функция у =f(x), где f(x) =-x4. Докажите, что f(4x) *f(-x/4)=(f(x))2.
*Цитирирование задания со ссылкой на учебник производится исключительно в учебных целях для лучшего понимания разбора решения задания.
*размещая тексты в комментариях ниже, вы автоматически соглашаетесь с пользовательским соглашением