Упр.13.15 ГДЗ Мордкович 9 класс (Алгебра)
Решение #1
Решение #2

Рассмотрим вариант решения задания из учебника Мордкович 9 класс, Мнемозина:
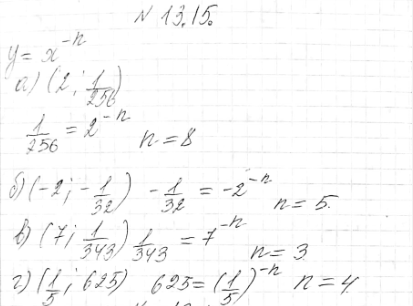
13.15. Чему равно n, если известно, что график степенной функции у = х^-n проходит через заданную точку:
а) (2;1/256);
б) (-2;-1/32);
в) (7;1/343);
г) (1/5;625)?
*размещая тексты в комментариях ниже, вы автоматически соглашаетесь с пользовательским соглашением