Упр.15.20 ГДЗ Мордкович 9 класс (Алгебра)
Решение #1
Решение #2

Рассмотрим вариант решения задания из учебника Мордкович 9 класс, Мнемозина:
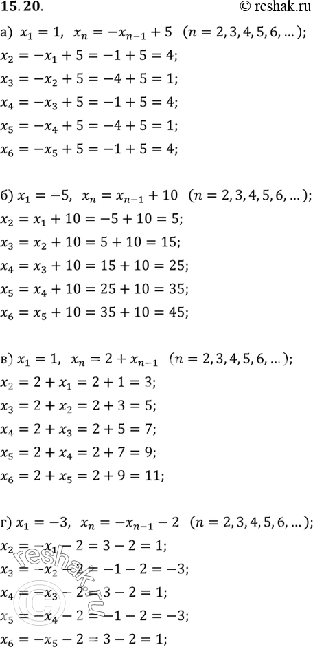
Выпишите первые шесть членов последовательности (хn), заданной рекуррентно:
15.20. а) х1 = 1, хn = -хn-1 + 5 (n = 2, 3, 4, ...);
б) x1= -5, хn=хn-1 + 10 (n = 2, 3, 4, ...);
в) x1=— 1, xn=2 +xn-1 (n = 2, 3, 4, ...);
г) х1 = -3, xn= -xn-1- 2 (n = 2, 3, 4, ...).
*размещая тексты в комментариях ниже, вы автоматически соглашаетесь с пользовательским соглашением