Упр.16.36 ГДЗ Мордкович 9 класс (Алгебра)
Решение #1
Решение #2

Рассмотрим вариант решения задания из учебника Мордкович 9 класс, Мнемозина:
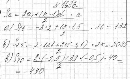
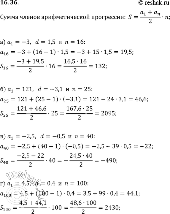
16.36. Найдите сумму первых n членов арифметической прогрессии (an), если известно, что:
а) а1 = -3, d = 1,5, n = 16;
б) а2 = 121, d = - 3,1, n = 25;
в) а1 = -2,5, d = - 0,5, n = 40;
г) а1 = 4,5, d = 0,4, n = 100.
*размещая тексты в комментариях ниже, вы автоматически соглашаетесь с пользовательским соглашением