Упр.16.51 ГДЗ Мордкович 9 класс (Алгебра)
Решение #1
Решение #2

Рассмотрим вариант решения задания из учебника Мордкович 9 класс, Мнемозина:
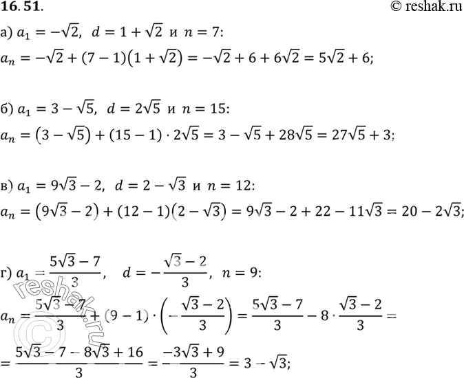
16.51. Дана конечная арифметическая прогрессия (аn). Найдите аn, если:
а) a1=- корень 2, d= 1+ корень 2, n=7;
б) a1= 3- корень 5, d= 2 корень 5, n=15;
в) a1= (9 корень 3)-2, d= 2 - корень 3, n=12;
г) a1= ((5 корень 3) - 7)/3, d= ((корень 3) -2)/3, n=9;
*размещая тексты в комментариях ниже, вы автоматически соглашаетесь с пользовательским соглашением