Упр.17.23 ГДЗ Мордкович 9 класс (Алгебра)
Решение #1
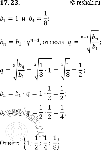
Решение #2

Рассмотрим вариант решения задания из учебника Мордкович 9 класс, Мнемозина:
17.23. Между числами 1 и 1/8 вставьте два положительных числа так, чтобы получились четыре последовательных члена геометрической прогрессии.
*размещая тексты в комментариях ниже, вы автоматически соглашаетесь с пользовательским соглашением