Упр.17.30 ГДЗ Мордкович 9 класс (Алгебра)
Решение #1
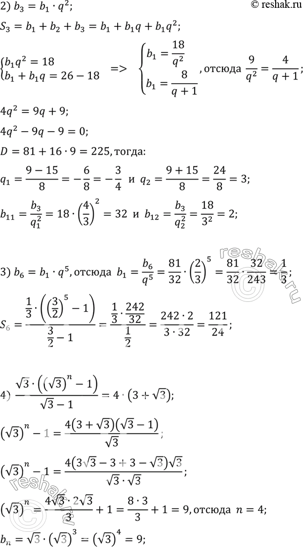
Решение #2

Рассмотрим вариант решения задания из учебника Мордкович 9 класс, Мнемозина:
17.30. Для геометрической прогрессии (bn) заполните таблицу:
b1
15
корень 3
25/169
2 корень 6
q
1*1/2
корень 3
1/3
13/5
1/корень 6
n
3
3
6
6
4
bn
18
2*17/32
5/81
1/3
Sn
21*2/3
26
4(3+ корень 3)
*размещая тексты в комментариях ниже, вы автоматически соглашаетесь с пользовательским соглашением