Упр.17.41 ГДЗ Мордкович 9 класс (Алгебра)
Решение #1
Решение #2

Рассмотрим вариант решения задания из учебника Мордкович 9 класс, Мнемозина:
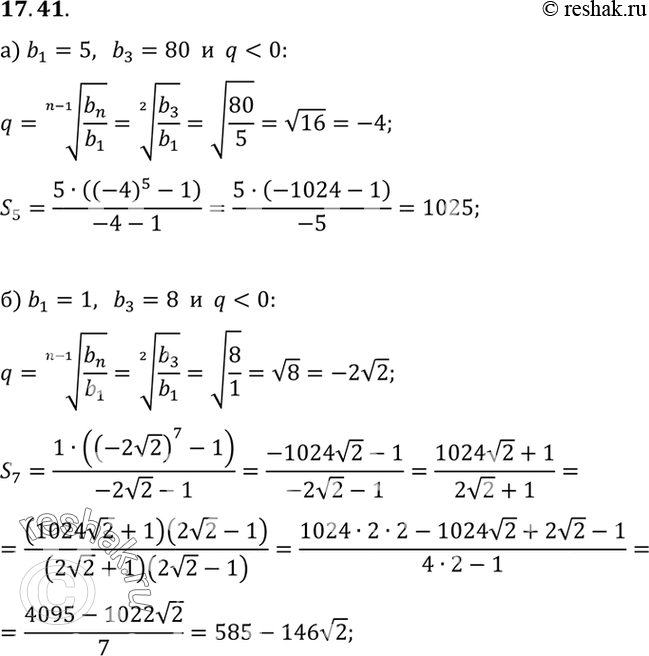
17.41. а) Дана знакочередующаяся геометрическая прогрессия (bn). Найдите знаменатель прогрессии и сумму ее первых пяти членов, если b1 = 5, b3 = 80.
б) Дана знакочередующаяся геометрическая прогрессия (bn). Найдите знаменатель прогрессии и сумму ее первых семи членов, если b1 = 1, b3 = 8.
*размещая тексты в комментариях ниже, вы автоматически соглашаетесь с пользовательским соглашением