Упр.4.1 ГДЗ Мордкович 9 класс (Алгебра)
Решение #1

Рассмотрим вариант решения задания из учебника Мордкович 9 класс, Мнемозина:
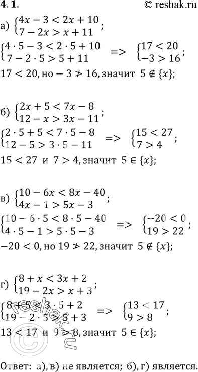
4.1 Является ли число 5 решением системы неравенств:
а) система
4х - 3 < 2х +10,
7 - 2х > х + 11;
б) система
2x + 5 < 7х - 8,
12 —x > 3х-11;
в) система
10-x<8x-40,
4x-1>5x-3;
г) система
8+x<3x+2,
19-2x>x+3?
*размещая тексты в комментариях ниже, вы автоматически соглашаетесь с пользовательским соглашением