Упр.4.13 ГДЗ Мордкович 9 класс (Алгебра)
Решение #1
Решение #2

Рассмотрим вариант решения задания из учебника Мордкович 9 класс, Мнемозина:
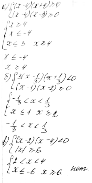
4.13 а) система
x2-16>=0,
x2-7x+12>=0;
б) система
9x2-1<0,
x2-3x+2>=0;
в) система
x2-6x+8<0,
x2-36>=0;
г) система
49x2-1<0,
x2+5x+6>=0.
*размещая тексты в комментариях ниже, вы автоматически соглашаетесь с пользовательским соглашением