Упр.5.12 ГДЗ Мордкович 9 класс (Алгебра)
Решение #1
Решение #2

Рассмотрим вариант решения задания из учебника Мордкович 9 класс, Мнемозина:
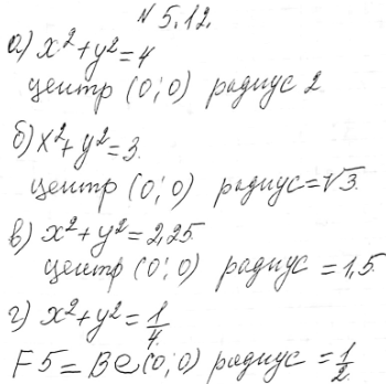
5.12. Составьте уравнение окружности, изображенной:
а) на рис. 1; б) на рис. 2; в) на рис. 3; г) на рис. 4.
*размещая тексты в комментариях ниже, вы автоматически соглашаетесь с пользовательским соглашением