Упр.5.33 ГДЗ Мордкович 9 класс (Алгебра)
Решение #1
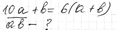
Решение #2

Рассмотрим вариант решения задания из учебника Мордкович 9 класс, Мнемозина:
5.33. Найдите двузначное число, которое в 6 раз больше суммы своих цифр.
*размещая тексты в комментариях ниже, вы автоматически соглашаетесь с пользовательским соглашением