Упр.6.16 ГДЗ Мордкович 9 класс (Алгебра)
Решение #1
Решение #2

Рассмотрим вариант решения задания из учебника Мордкович 9 класс, Мнемозина:
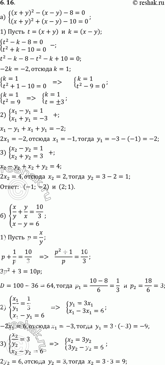
6.16 а) система
(x+y)2-(x-y)-8=0,
(x+y)2+(x-y)-10=0;
б) система
x/y+y/x=10/3,
x-y=6;
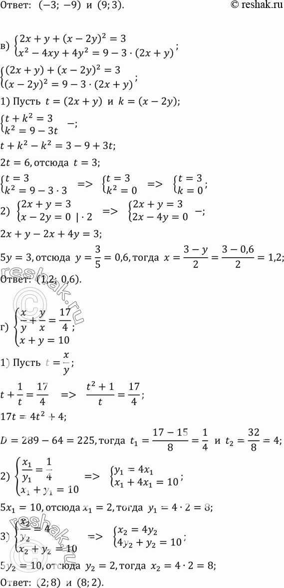
в) система
2x+y+(x-2y)2=3,
x2+4xy+4y2=9-3(2x+y);
г) система
x/y+y/x=17/4,
x+y=10.
*размещая тексты в комментариях ниже, вы автоматически соглашаетесь с пользовательским соглашением