Упр.18.2 ГДЗ Мордкович 10-11 класс (Алгебра)

Решение #1

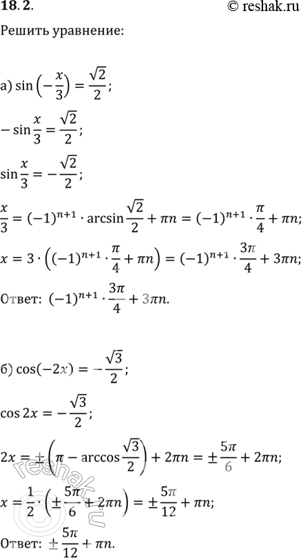
Изображение 18.2 а) sin (-x/3) = корень(2)/2;б) cos (-2х ) = -корень(3)/2;в) tg (-4x) = 1/корень(3);г) ctg (-x/2) =...
Дополнительное изображение

Решение #2

Изображение 18.2 а) sin (-x/3) = корень(2)/2;б) cos (-2х ) = -корень(3)/2;в) tg (-4x) = 1/корень(3);г) ctg (-x/2) =...
Дополнительное изображение
Дополнительное изображение
Загрузка...

Рассмотрим вариант решения задания из учебника Мордкович, Семенов 10 класс, Мнемозина:
18.2
а) sin (-x/3) = корень(2)/2;
б) cos (-2х ) = -корень(3)/2;
в) tg (-4x) = 1/корень(3);
г) ctg (-x/2) = 1.
*Цитирирование задания со ссылкой на учебник производится исключительно в учебных целях для лучшего понимания разбора решения задания.
*размещая тексты в комментариях ниже, вы автоматически соглашаетесь с пользовательским соглашением