Упр.19.28 ГДЗ Мордкович 10-11 класс (Алгебра)
Решение #1
Решение #2

Рассмотрим вариант решения задания из учебника Мордкович, Семенов 10 класс, Мнемозина:
19.28 Решите неравенство:
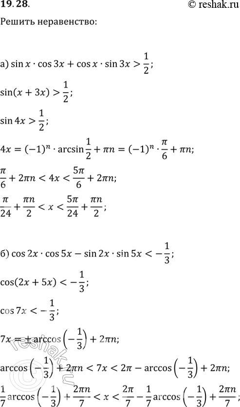
а) sin х * cos Зх + cos х * sin Зx > 1/2;
б) cos 2х * cos 5х - sin 2х * sin 5x < -1/3;
в) sin x/4 * cos x/2 - cos x/4 * sin x/2 < 1/3;
г) sin 2x * sin 5x + cos 2x * cos 5x > -корень(3)/2.
*размещая тексты в комментариях ниже, вы автоматически соглашаетесь с пользовательским соглашением