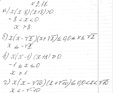
Упр.2.17 ГДЗ Мордкович 9 класс (Алгебра)
Решение #1
Решение #2

Рассмотрим вариант решения задания из учебника Мордкович 9 класс, Мнемозина:
Решите неравенство;
2.17 а) х3 - 64х > 0;
б) х3 <= 2х;
в) х3 >= х;
г) х3 - 10х < 0.
*размещая тексты в комментариях ниже, вы автоматически соглашаетесь с пользовательским соглашением